PiAcademy-Logo

Eton College – 13 Plus Scholarship Exam 2010 – Maths B

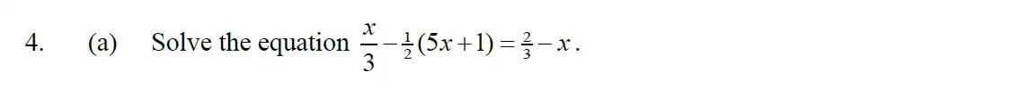
Question 2 - Eton College – 13 Plus Scholarship Exam 2010 – Maths B
2:30

Topics Covered:

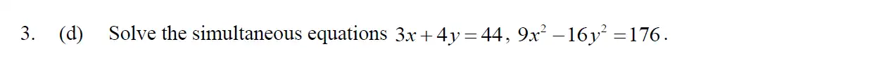
Question 3 - Eton College – 13 Plus Scholarship Exam 2010 – Maths B
Question 10 - Eton College – 13 Plus Scholarship Exam 2010 – Maths B
2:30

Topics Covered:

Question 12 - Eton College – 13 Plus Scholarship Exam 2010 – Maths B
3:30

Topics Covered:

Question 13 - Eton College – 13 Plus Scholarship Exam 2010 – Maths B
2:00

Topics Covered:


Subscribe to Newsletter
WhatsApp Chat
WhatsApp Chat
PiAcademy Logo
More than 20,000 Registered Members!
PiAcademy is the #1 site on the internet to prepare for the 7+, 8+, 9+, 10+, 11+, 13+, Pre-Tests, GCSEs, and other competitive exams in the UK. Exam Past Papers, practice papers with detailed answers. Used by parents tutors & schools all over the UK.

Our Partners

Tutor_ImageTatler_Image

Partner With Us

+44 (0) 7586 485671

© 2014 - 2025, PIACADEMY LTD - All Rights Reserved