



13+ Maths Scholarship Solved Topic Wise Questions
4554+
Students
70% OFF
£169/year
Add to Basket
- Get access to latest, 2,200+ topic-wise solved questions.
- Unlock instantly, 2026 13+ exams, 75 Maths Scholarship Papers.
- Access detailed step-wise solutions by 13+ examiners on the website.
- Boost exam speed, accuracy, and confidence for 13 Plus exams.
- Suitable for independent school 13+ scholarship exams.
- Get question-wise timed guidance, topic tags, and difficulty levels.
70% OFF
£169/year
Add to Basket
2,200+
Topicwise Questions
75
Solved Scholarship Papers
95%
Success Rate
Solved by 13+ Experts
13+ Exam Topics
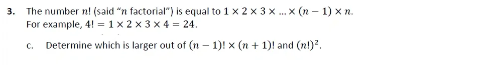
Function Machines - 13 + Exam Questions & Answers

1:30
Topics Covered:
Topics Covered:

1:30
Topics Covered:
Topics Covered:

1:30
Topics Covered:
Topics Covered:

2:00
Topics Covered:
Topics Covered:
End of Questions
Key Features of 13+ Maths Scholarship Solved Topic Wise Questions
Detailed Answers
Detailed, stepwise answers with clear explanations help students to build concepts for 13+ exams, boosting confidence.

Benefits of 13+ Maths Scholarship Solved Topic Wise Questions
How to Use of 13+ Maths Scholarship Solved Topic Wise Questions
Step 1
Select your practice topic
- Select a topic of your choice from the left side menu.
- Solve under timed conditions.
Step 2
Mark Your Answers
- Write your answers with detailed steps.
- Mark your answers with the answer explanation provided.
Step 3
Track the progress
- Identify and work on weak 13 Plus Maths Topics.
- Solve 75 Scholarship 13+ year 9 maths past papers with answers. (Complimentary Access).





