



IGCSE Solved Topic Wise Questions - 2026
5320+
Students
70% OFF
£89/year
Add to Basket
- Practice 1000+ topic-wise questions, tagged by difficulty and time.
- Unlock instantly, 2026, IGCSE exams, 55+ Maths Past Papers.
- Access detailed step-wise solutions by IGCSE examiners on the website.
- Get full IGCSE Maths exam syllabus & download paper planner.
- Boost exam speed, accuracy, & confidence for IGCSE exams.
- Suitable for Edexcel, Cambridge & AQA IGCSE exam boards.
70% OFF
£89/year
Add to Basket
IGCSE Exam Topics
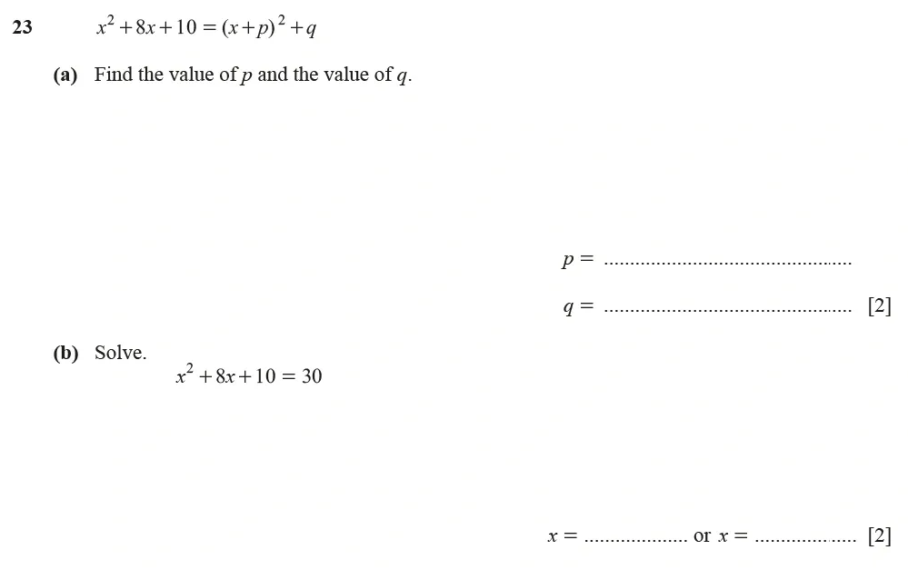
Completing the Square - igcse Maths Exam Questions & Answers
Use Calculator :No

Use Calculator :No
2:30
Topics Covered:
Topics Covered:
Use Calculator :Yes

Use Calculator :Yes
3:00
Topics Covered:
Topics Covered:
Use Calculator :Yes

Use Calculator :Yes
2:30
Topics Covered:
Topics Covered:
Use Calculator :Yes

Use Calculator :Yes
2:00
Topics Covered:
Topics Covered:
End of Questions
Key Features of IGCSE Maths Solved Topic Wise Questions
Detailed Answers
Step-by-step solutions to Maths IGCSE past papers designed to build core concepts and boost exam confidence.
Benefits of IGCSE Maths Solved Topic Wise Questions
How to Use IGCSE Maths Solved Topic Wise Questions
Step 1
Select your practice topic
- Select a topic of your choice from the left side menu
- Create a study plan with the downloadable planner
Step 2
Mark Your Answers
- Solve your answers under strict timed conditions.
- Mark your answers with the answer explanation provided
Step 3
Track the progress
- Identify and work on weak IGCSE Maths questions
- Solve 55+ IGCSE maths past papers and Answers